發布時間:2012-07-25 共1頁
十九、網絡計劃技術
一、單項選擇題
1.某網絡計劃在執行中發現B工作還需作業5天,但該工作至計劃最遲完成時間尚有4天,則該工作( )。
A.正常
B.影響總工期1天
C.影響總工期4天
D.影響總工期5天
正確答案:B 解題思路:超過最遲完成時間就會影響到總工期的拖延,影響工期為:5-4=1(天)。
2.當已規定了要求工期Tr時,網絡計劃的計劃工期Tp應( )。
A.Tp=Tr
B.Tp≤Tr
C.Tp≥Tr
D.Tp<Tr
正確答案:B 解題思路:要求工期是任務委托人所提出的指令性工期,用Tr表示。計劃工期是指根據要求工期和計算工期所確定的作為實施目標的工期,用TP表示。當已規定了要求工期時,計劃工期不應超過要求工期,即:TP≤Tr。
3.在工程網絡計劃中,M工作的最早開始時間為第16天,其持續時間為4天,該工作有三項緊后工作,它們的最早開始時間分別為第22天、第23天、第25天,則M工作的自由時差為( )天。
A.4
B.2
C.3
D.5
正確答案:B 解題思路:自由時差=min{(22-16-4),(23-16-4),(25-16-4)}=2(天)。
4.單代號網絡圖的基本符號中"箭線"表示( )。
A.工作名稱
B.一項工作
C.工作持續時間
D.緊鄰工作之間的邏輯關系
正確答案:D 解題思路:網絡圖有雙代號網絡圖和單代號網絡圖兩種。雙代號網絡圖又稱箭線式網絡圖,它是以箭線及其兩端節點的編號表示工作;同時,節點表示工作的開始或結束以及工作之間的連接狀態。單代號網絡圖又稱節點式網絡圖,它是以節點及其編號表示工作,箭線表示工作之間的邏輯關系。
5.某分部工程的雙代號網絡圖如下圖所示,錯誤之處是( )。

A.節點編號不對
B.有多余虛工作
C.有多個終點節點
D.有多個起點節點
正確答案:C 解題思路:網絡圖中應只有一個起點節點和一個終點節點(任務中部分工作需要分期完成的網絡計劃除外)。除網絡圖的起點節點和終點節點外,不允許出現沒有外向箭線的節點和沒有內向箭線的節點。本題所示網絡圖中有兩個終點節點⑦和⑧。
二、多項選擇題
6.在網絡計劃的工期優化過程中,為了有效地縮短工期,應選擇( )的關鍵工作作為壓縮對象。
A.持續時間最長
B.縮短時間對質量影響不大
C.直接費用最小
D.直接費用率最小
E.有充足備用資源
正確答案:BDE 解題思路:選擇應縮短持續時間的關鍵工作。選擇壓縮對象時宜在關鍵工作中考慮下列因素:
(1)縮短持續時間對質量和安全影響不大的工作;
(2)有充足備用資源的工作;
(3)縮短持續時間所需增加的費用最少的工作。
7.某分部工程雙代號網絡計劃如下圖所示,圖中錯誤為( )。(2004年)

A.節點編號有誤
B.工作代號重復
C.多個起點節點
D.多個終點節點
E.存在循環回路
正確答案:ADE 解題思路:節點編號④、⑤、⑥出現錯誤;網絡圖中嚴禁出現從一個節點出發,順箭頭方向又回到原出發點的循環回路,上圖中⑤、⑧、⑨構成回路;網絡圖中應只有一個起點節點和一個終點節點。
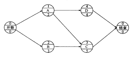
8.某工程單代號網絡計劃圖如下,下列選項正確的是( )。

A.工作A的EF為2天
B.工作D的FF為2天
C.工作C的EF為2天
D.工作B的FF為1天
E.計算工期為8天
正確答案:ABE 解題思路:本題的解題思路參考教材中的有關講解。
9.某分部工程雙代號網絡計劃如下圖所示。圖中已標出每個節點的最早時間和最遲時間,該計劃表明( )。
A.工作1-3為關鍵工作
B.工作1-4的總時差為1
C.工作3-6的自由時差為1
D.工作4-8的自由時差為1
E.工作6-10的總時差為3
正確答案:AD 解題思路:本題圖中的關鍵線路為:①→③→⑥→⑦→⑧→⑩、①→③→⑤→⑦→⑧→⑩和①→④→⑤→⑦→⑧→⑩則A正確、B錯誤、C錯誤;工作④→⑧的自由時差=10-(5+4)=1(天),工作⑥→⑩的總時差=10-9=1(天)。
10.網絡計劃中工作之間的先后關系叫做邏輯關系,它包括( )。
A.工藝關系
B.組織關系
C.技術關系
D.控制關系
E.搭接關系
正確答案:AB 解題思路:工藝關系和組織關系是工作之間先后順序關系-邏輯關系的組成部分。生產性工作之間由工藝過程決定的、非生產性工作之間由工作程序決定的先后順序關系稱為工藝關系。工作之間由于組織安排需要或資源(勞動力、原材料、施工機具等)調配需要而規定的先后順序關系稱為組織關系。