發布時間:2010-01-14 共1頁
2007年咨詢工程師考試真題——現代咨詢方法與實務
試卷后附復利系數表。所有計算結果保留兩位小數。
一、(20分)
X公司是一家家電生產企業,其生產的A產品目前處于衰退期。X公司采取了降價措施,A產品的價格從2005年的2200元/件下降到2006年的2000元/件,其銷售量隨之從2005年的60萬件/年上升到2006年的69萬件/年。
為了降低企業的市場風險,X公司擬實施多元化經營,考慮進入游戲軟件開發行業。為此,X公司委托Y咨詢公司分析了該行業的吸引力,如表1-1所示。
表1-1游戲軟件開發行業吸引力評價表
.jpg)
為了給X公司提供更加科學的咨詢建議,Y咨詢公司還詳細考察了近年來x公司所面臨的外部環境因素,主要包括:
①中國加入世貿組織5年過渡期已經結束,平均進口關稅下降到9.9%;
②法律體系日益健全和完善;
③生產技術不斷更新;
④中國國內生產總值連續4年保持了10%以上的增長率;
⑤高等教育進人大眾化階段;
⑥銀行存貸款利率上升;
⑦全社會的誠信觀念進一步加強;
⑧《專利保護法》頒布實施;
⑨風險投資資金來源多樣化;
⑩新產品層出不窮,產品生命周期愈來愈短。
同時,X公司的決策層也分析了本公司所處的家電行業以及擬進人的游戲軟件開發行業的行業成功關鍵因素,認為:家電行業的成功關鍵因素是低成本產品設計、低成本廠址和較高的勞工技能;而軟件開發行業的成功關鍵因素則是既定技術應用能力和網絡營銷能力。
問題:
1.X公司對A產品在市場、生產經營、研發和投資策略四個方面應分別采取哪些相應的戰略?
2.根據A產品2005年和2006年的價格和銷售量數據,計算該產品的價格彈性。
3.根據Y咨詢公司所作的游戲軟件開發行業吸引力評價表,X公司是否應該進入該領域?說明理由。
4.利用PEST分析方法對X公司面臨的外部環境因素進行歸類。(源自建設工程教育網)
5.在家電行業和軟件開發行業成功關鍵因素的分析中,除了X公司決策層考慮的上述因素外,這兩個行業分別還有哪些成功關鍵因素?
二、(20分)
W廠生產的A產品目前的市場份額與最大競爭對手的市場份額的比率(相對市場份額)為1.2,市場成長率為14%。鑒于目前的市場態勢,該廠擬調整2007年二季度的生產計劃。為此,委托Y咨詢公司對該廠所在地區的A產品銷售量進行預測。Y公司根據本公司目前僅有的行業統計信息庫,統計了W廠所在地區2006年10月。2007年3月的A產品銷售量,見表2-1.
.jpg)
同時,Y公司為了進~步提高自己的競爭能力,并為業主提供更加優質的咨詢服務,擬進一步完善本公司的數據庫。
問題:
1.運用波士頓矩陣分析W廠目前生產的A產品屬于哪類業務?針對此業務。該廠應采取何種策略?
2.采用一次指數平滑法,預測該地區2007年4月的A產品銷售量(平滑系數取0.3,初始值取前3個觀測值的平均值)。(列出計算過程,中問結果保留到小數點后三位,最終結果保留到小數點后兩位)
3.除了指數平滑法外,還有哪些常用的延伸預測法?各自的適用條件是什么?
4.為了完善企業數據庫,除了現有的行業統計信息庫外,Y公司還應建立哪些數據庫?
三、(25分)
某新建高速公路項目總投資95億元人民幣,總長度約150公里,途經某貧困地區。項目資金來源如下:某國際金融機構貸款3億美元,國內商業銀行貸款50億元人民幣,其余由交通部門和當地政府解決。該國際金融機構要求其部分貸款用于從國外采購8套相同的公路專用設備,且設備到達建設地點時的總金額不得超過其貸款總額的10%。該設備的外貿手續費率為1.5%,進口關稅稅率為10%,國內運雜費為30萬元/套,假定其他稅費不考慮(外匯牌價按1美元=7.8元人民幣)oA咨詢公司對該高速公路進行國民經濟評價時,首先對項目進行了費用和效益的識別,認為該項目的國民經濟效益主要有:(1)高速公路收費增加;(2)汽車運輸費用節約;(3)乘客行程時間節??;(4)每年交通部門增拔公路養護專項補貼;(5)交通事故減少等。(源自建設工程教育網)
A公司運用邏輯框架法對該項目進行社會評價時,認為減輕項目途經地區的貧困是本項目的目標之一,并分別分析了項目目標的垂直邏輯關系和水平邏輯關系;通過財富排序法調查了部分村莊的農戶貧富狀況,并對代表性農戶進行了個別訪談。
問題:
1.每套公路專用設備的到岸價不高于多少美元,才符合國際金融機構的要求?
2.A咨詢公司識別的國民經濟效益中,哪些是正確的?
3.A咨詢公司運用邏輯框架法確定本項目目標時,垂直邏輯關系和水平邏輯關系分析的目的分別是什么?它們各分析哪些因素之間的邏輯關系?
4.本項目是否適用財富排序法進行社會評價?簡述財富排序法的適用條件。
5.A公司調查時可采用哪些類型的個別訪談?
四、(20分)
X房地產開發企業通過“招拍掛”取得一宗土地開發權,該土地性質為住宅用地,項目開發周期為3年。該房地產企業委托一家咨詢公司對本項目的市場、方案、效益和風險等進行分析。
1.甲咨詢工程師設計了三個互斥開發方案,并依據可比性原則,采用動態分析方法對各方案進行了經濟效益比較。
2.乙咨詢工程師采用專家調查法預測了3年后的住宅售價平均值:樂觀值為7500元/平方米,悲觀值為4000元/平方米,最可能值為5500元/平方米。
3.丙咨詢工程師通過敏感性分析得知項目效益對住宅價格很敏感,當住宅平均售價為5200元/平方米時,項目的內部收益率等于開發商期望的最低回報率(12%)。丙咨詢工程師分析了不同住宅售價發生的概率,如表4-1所示:
.jpg)
4.丁咨詢工程師認為本項目效益好壞除受住宅價格影響外,還受建設投資、融資政策等變量影響,可以采用蒙特卡羅模擬技術評價其風險。
問題:
1.甲咨詢工程師在進行方案經濟比較時,各方案之間具有可比性具體包含哪些內容?可以采用哪些動態分析方法進行方案經濟比較?
2.根據乙咨詢工程師的調查預測,估算3年后住宅售價的期望值和標準差。
3.根據丙咨詢工程師的分析,計算本項目滿足開發商投資回報要求的概率,并據此評價項目風險大小。
4.丁咨詢工程師采用的風險評價技術是否正確?簡述理由,井說明采用蒙特卡羅模擬法應注意的問題。
五、(25分)
某地擬新建一個制藥項目。根據預可行性研究提供的工藝設備清單和詢價資料,估算該項目主廠房設備投資約4200萬元,主廠房的建筑工程費占設備投資的18%,安裝工程費占設備投資的12%,其他工程費用按設備(含安裝)和廠房投資系數法進行估算,有關系數見表5-1.上述各項費用均形成企業固定資產。
.jpg)
預計建設期物價平均上漲率3%,基本預備費率為10%。建設期2年,建設投資第1年投入60%,第2年投入40%。
本項目的資金來源為自有資金和貸款,貸款本金為6000萬元,年利率為6%。每年貸款比例與建設資金投入比例相同,且在各年年中均衡發放。與銀行約定,從生產期的第1年開始,按5年等額還本付息方式還款。固定資產折舊年限為8年,按平均年限法計算折舊,預計凈殘值率為5%,在生產期末回收固定資產余值。
項目生產期為8年,流動資金總額為500萬元,全部源于自有資金。生產期第1年年初投入流動資金總額的30%,其余70%于該年年末投入。流動資金在計算期末全部回收。預計生產期各年的經營成本均為2000萬元(不含增值稅進項稅額),銷售收入(不含增值稅銷項稅額)在生產期第1年為4000萬元,第2至第8年均為5500萬元。營業稅金及附加占銷售收入的比例為5%,所得稅率為33%,行業基準收益率ic=15%。
問題:
1.估算該項目的建設投資。(源自建設工程教育網)
2.計算建設期利息以及還款期第1年的還本額和付息額。
3.計算固定資產凈殘值、各年折舊巔(要求列出計算式)。
4.編制項目投資現金流量表(將相關數據直接填入答題卡附表5中)。計算項目投資稅后財務凈現值,并評價本項目在財務上是否可行。
六、(20分)
世界銀行某咨詢服務項目通過公開招標方式擇優選擇咨詢單位。某咨詢公司擬參加該咨詢服務項目的投標,通過對招標文件的分析,針對招標人對投標文件中“建議的關鍵人員的資歷”的評審內容,該公司從工作經歷、工作年限、現任職務和所受培訓程度等方面考慮選派項目經理。最終該咨詢公司中標,咨詢服務合同工期為17周。
項目終彈編制了咨詢服務講度計劃。如圖6.1所示。
.jpg)
由于A、I、J工作均為現場考察,項目組安排甲專業咨詢工程師按A→I→J順序通過實地考察完成。并相應調整了咨詢服務進度計劃。
調整后的咨詢服務進度計劃執行2周后,委托方提出增加一項新的F工作。根據咨詢工作內容的要求,F工作必須安排在A工作完成之后開始,并在I工作開始之前完成。經過項目經理確認,F工作的持續時間為3周。
該計劃執行到第15周末時檢查發現,項目擬完工作計劃費用為13萬元,已完工作計劃費用為10萬元,已完工作實際費用為11萬元。
問題:
1.針對招標人對投標文件中“建議的關鍵人員的資歷”的評審內容,咨詢公司選派項目經理時,還應該考慮項目經理具備哪些務件?
2.為使甲專業咨詢工程師按A→I→J順序工作,咨詢服務進度計劃應如何調整?調整后的咨詢服務進度計劃能否滿足咨詢合同的工期要求?甲專業咨詢工程師在現場考察的窩工時間為多少周?
3.確定增加F工作后咨詢服務進度計劃的計算工期和關鍵線路。
4.分析該項目第15周末的進度偏差和費用偏差。
.jpg)
參考答案
注意:答案以舊教材內容為依據,案例考核點仍然有參考價值。
一、(20分)
1.A產品處于生命周期中的衰退期,應采取的戰略是:
(1)市場方面:重新選擇市場區域,改善企業形象。
?。?/span>2)生產經營方面:縮小生產規模或縮減生產能力,保持價格優勢。
(3)研發方面:研發可替代的新產品。
?。?/span>4)投資方面:不再增加投資,逐漸減少投資,逐步退出該領域。
2.利用價格彈性公式,A產品的價格彈性為:
εp=(AQ/Q)/(△P/P)=[(69-60)/60]/[(2000-2200)/2200]=-1.65
3.X公司應該進入該領域。
從案例中的行業吸引力評分表可以計算出游戲軟件開發行業的行業吸引力評分為:
5×0.25+3×0.18+5×0.12+2×0.20+4×0.15+4×0.10=3.79
4.PEST分析法是從政治、經濟、社會、技術四個方面進行外部環境因素分析。由此可得出:
?。?/span>1)政治環境方面:②、⑧。
(2)經濟環境方面:①、④、⑥、⑨。
(3)社會環境方面:⑤、⑦。
?。?/span>4)技術環境方面:③、⑩。
5.除了題目所給的因素之外,家電行業的成功關鍵因素還包括生產成本低、生產能力利用率高、產品設計能力強等;而軟件行業的成功關鍵因素還包括科研專家、工藝創新能力、產品創新能力等。
點評:題目比較綜合,但每問相對都比較簡單,關鍵是根據題目要求選擇正確的方法進行做答。做題時一定要按照問題順序做答。
二、(20分)
1.運用波士頓矩陣分析,A產品的相對市場份額為1.2,市場成長率為14%,可以在矩陣圖上確定該產品的位置(考試時此圖可以不畫),也可直接根據波士頓矩陣橫坐標和縱坐標的含義確定,該產品屬于“明顯”業務,應該采取的策略是:
采取發展策略,追加投資、擴大業務。

2.(1)計算初始平滑值:
F0=(x1+x2+x3)/3=(5.54+5.75+5.59)/3=5.627
?。?/span>2)由指數平滑法公式得出:
F1=0.3×5.54+(1-0.3)×50627=50601
F2=0.3×5.75+(1-0.3)×5.601=5.646
F3=0.3×5.59+(1-0.3)×5.646=5.629
F4=0.3×5.33+(1-0.3)×5.629=5.539
F5=0.3×6.06+(1-0.3)×5.539=5.695
F6=0.3×6.57+(1-0.3)×5.695=5.958
因此,2007年4月的A產品銷售量為5.96萬臺。
3.(1)移動平均法:適用于短期預測,主要用于以月度或周為單位的近期預測。
(2)成長曲線模型:用來對產品市場的整個生命周期進行模擬和預測。
(3)季節變動分析:用來預測市場需求隨季節的變化呈現出周期性的變化,主要適用于季節波動較小、同季節的數據呈水平變動趨勢的市場預測。
4.還應建立法律數據庫、政策數據庫、標準規范數據庫、項目數據庫等。
三、(25分)
1.經分析,要求8套設備的購置費不得高于30000×10%=3000萬美元,也就是說每套設備不得高于3000÷8=375萬美元。
本題每套設備的購置費=CIF+進口關稅+外貿手續費+國內運雜費≤375萬美元
進口關稅=CIF×10%
外貿手續費=CIF×1.5%
國內運雜費=30萬元/套=30÷7.8=3.85萬美元/套
即,(CIF+CIF×10%+CIF×1.5%+3.85)≤375
[CIF(1+10%+1.5%)+3.85] ≤375
CIF≤332.87萬美元
即每套公路專用設備的到岸價不高于332.87萬美元才符合國際金融機構的要求。
點評:這是反向考核設備購置費的估算。這里的貨價用的是CIF,而非FOB;比較的單位是美元,不是人民幣。一定要看清題意。
2.正確的國民經濟效益應是:(2)汽車運輸費用節約和(3)乘客行程時間節省。
點評:因(1)高速公路收費和(4)每年交通部門增撥的專項補貼屬于轉移支付,不應計人國民經濟效益;因該項目是新建高速公路,途徑貧困地區,按照有無對比原則,沒有對比對象,所以不存在(5)交通事故減少這一經濟效益。
3.垂直邏輯關系分析的目的是闡述各層次目標之間的因果關系,分析的是宏觀目標、具體目標、項目產出和投入或活動之間的邏輯關系;
水平邏輯關系分析的目的是明確項目成果的可驗證性,分析的是驗證指標、驗證方法和重要的假設條件之間的邏輯關系。
4.適用財富排序法。該方法適用于在較短的時間內對村級社區進行社會分層的分析,尤其適用于對扶貧有影響的投資項目的社會評價。
5.可采用非正式的會話式訪談、重點問題訪談和標準化訪談。
四、(20分)
1.(1)方案比選的可比性原則具體包括:①服務年限的可比;②計算基礎資料的可比性(如價格);③設計深度應相同,效益與費用的計算范圍應一致;④經濟計算方法應相同,即選擇相同的評價指標。
(2)方案比選的動態分析方法包括:現值比較法、年值比較法、差額投資內部收益率法、最低價格法、效益/費用法。
2.根據題目可知該住宅售價符合8分布,則其期望值和方差的計算公式為:
t=(a+4m+b)/6
σ2=[(b-a)/6]2 式中:口表示樂觀值,b表示悲觀值,m為最可能值,t為期望值。
該住宅售價期望值=(7500+5500×4+4000)/6=5583.33元/平方米
該住宅售價標準差=(7500-4000)/6=583.33元/平方米
3.(1)按從小到大順序排列各種售價,計算累計概率:
|
凈現值/萬元 |
組合概率 |
累計概率 |
凈現值/萬元 |
組合概率 |
累計概率 |
|
售價 |
發生概率 |
累計概率 |
售價 |
發生概率 |
累計概率 |
|
4000 |
0.10 |
0.10 |
5500 |
0.35 |
0.80 |
|
4500 |
0.15 |
0.25 |
6000 |
0.15 |
0.95 |
|
5000 |
0.20 |
0.45 |
7500 |
0.05 |
1 |
?。?/span>2)要滿足開發商投資回報率的要求,住宅的售價應高于5200影平方米,由上述數據可知:
住宅的售價低于5200元/平方米的概率5200=0.45+0.35×(5200-5000)/(5500-5000)=0.59
則住宅售價高于5200元/平方米的概率=1-0.59=0.41,即本項目滿足開發商投資回報率要求的概率為41%,說明項目具有很大風險。
4.正確。當風險分析中的輸人變量多于3個,每個變量可能出現3個以上至無限多種狀態時,可以采用蒙特卡羅技術。使用時應注意的問題有:
(1)風險變量之間應該是獨立的,輸入變量的分解程度既要保證結果可靠,又要避免風險變量之間的相關。
(2)蒙特卡羅法的模擬次數一般應在200至500次之間為宜。
五、(25分)
1.先采用比例估算法估算主廠房的建筑工程費和安裝工程費,再用設備和廠房系數法估算其他工程費用。
?。?/span>1)主廠房的建筑工程費=4200×18%=756萬元
主廠房的安裝工程費=4200×12%=504萬元
主廠房的工程費用=4200+756+504=5460萬元
(2)其他工程的工程費用=5460×(9%+12%+0.7%+2.8%+1.5%)=1419.6萬元
(3)工程費用=5460+1419.6=6879.6萬元
?。?/span>4)工程建設其他費用=5460×32%=1747.2萬元
?。?/span>5)基本預備費=(6879.6+1747.2)×10%=862.68萬元
該項目建設期2年,第一年投入60%,第二年投入40%:
第一年的漲價預備費=6879.6×60%×[(1+3%)-1]=123.83萬元
第二年的漲價預備費=6879.6×40%×[(1+3%)2-1]=167.59萬元
漲價預備費=123.83+167.59=291.42萬元
?。?/span>6)建設投資=6879.6+1747.2+862.68+291.42=9780.9萬元
點評:按照建設投資的估算步驟一步步進行,熟記估算公式,避免遺漏數據。這里計算的其他工程費用和工程建設其他費用采用的是相對于主廠房工程費用的系數。
2.(1)貸款年中均衡發生,采用復利計算
第一年建設期利息=(6000×60%)÷2×6%=108萬元
第二年建設期利息=(6000×60%+108+6000×40%÷2)×6%=294.48萬元
建設期利息=108+294.48=402.48萬元
?。?/span>2)還款第一年年初的借款本息累計=6000+402.48=6402.48萬元,采用等額還本付息方式:
每年還本付息額=6402.48×(A/P,6%,5)=1519.95萬元
還款期第一年付息=6402.48×6%=384.15萬元
還款期第一年還本=1519.95-384.15=1135.8萬元
3.固定資產原值=建設投資+建設期利息=9780.9+402.48=10183.38萬元
殘值=10183.38×5%=509.17萬元
采用平均年限法,則年折舊額=(10183.38-509.17)÷8=1209.28萬元
點評:也可利用折舊率計算公式來計算。
4.(1)將題目所給數據和計算數據填入下表中:
|
序號 |
項目/年份 |
1 |
2 |
3 |
4—9 |
10 |
|
1 |
現金流入 |
|
|
|
|
|
|
1.1 |
營業收入 |
|
|
4000 |
5500 |
5500 |
|
1.2 |
回收固定資產余值 |
|
|
|
|
509.17 |
|
1.3 |
回收流動資金 |
|
|
|
|
500 |
|
2 |
現金流出 |
|
|
|
|
|
|
2.1 |
建設投資 |
5868.54 |
3912.36 |
|
|
|
|
2.2 |
流動資金 |
|
150 |
350 |
|
|
|
2.3 |
經營成本 |
|
|
2000 |
2000 |
2000 |
|
2.4 |
營業稅金及附加 |
|
|
200 |
275 |
275 |
|
3 |
所得稅前凈現金流量 |
-5868.54 |
-4062.36 |
1450 |
3225 |
4234.17 |
|
4 |
調整所得稅 |
|
|
194.94 |
665.19 |
665.19 |
|
5 |
所得稅后凈現金流量 |
-5868.54 |
-4062.36 |
1255.o6 |
2559.81 |
3578.98 |
其中:①建設投資建設期第1年投入=9780.9×60%=5868.54萬元;
建設期第2年投入=9780.9×40%=3912.36萬元。
②流動資金生產期第1年年初投入=500×30%=150萬元,填入表中第2年一格;
生產期第1年年末投入=500-150=350萬元,填入表中第3年一格。
③營業稅金及附加=銷售收入×5%
④調整所得稅=息稅前利潤×所得稅率
=(銷售收入-經營成本-折舊-營業稅金及附加)×所得稅率
以生產期第1年為例,其他依此類推:
調整所得稅=(4000-2000-1209.28-200)×33%=194.94萬元
點評:項目投資現金流量表的填寫一定要注意按每年計算相關數據,哪些數據什么時間發生很重要,如建設投資、流動資金等分年投入;這里的調整所得稅是《方法與參數》新變化的內容,一定要熟記計算公式。還要注意的是這里的固定資產原值按建設投資數據計算。
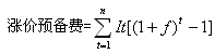
?。?/span>2)利用公式
![]()
查復利系數表得:
項目稅后財務凈現值=-5868.54×(P/F,15%,1)-4062.36×(P/F,15%,2)+1255.06×(P/F,15%,3)+2559.81×(P/A,15%,6)×(P/F,15%,3)+3578.98×(P/F,15%,10)
=-95.31萬元
因FNPV≤O,所以該項目在財務上不可行。
點評:計算FIVPV時,該項目建設投資認為發生在建設期第1、2年的年末,沒有。點的現金流量,故t=1,2,…,10。
六、(20分)
1.除了上述方面外,還要考慮項目經理對該行業的工作經驗或類似工作經驗。
2.(1)需要安排虛工作才能使甲工程師按A→I→J順序工作,調整進度計劃如下圖(也可以不畫圖,直接用文字描述,如在A工作之后、I工作之前增加一項虛工作③一④等):
(2)計算調整后的咨詢服務進度計劃的計算工期可以利用雙代號網絡圖的時間參數計算方法,也可以用枚舉法或簡單標號法。這里因工作數量不是很多,用枚舉法計算(其他方法請大家自己演練)。
主要的工作線路有:A-E-G-J-M,17周;A-I-J-M,15周;A-I-K-M,為14周;A-I-L-M,15周;A-I-L-N,13周;8-C-J-M,15周;B-D-I-J-M,16周;B-D-I-K-M,15周;8-D-I-L-M,16周;B-D-I-L-N,14周。
可見調整后計劃的計算工期仍為17周,滿足合同工期的要求。

點評:計算雙代號網絡圖或單代號網絡圖的時間參數,按照理論計算法計算相對復雜,如果工作不多可以用枚舉法,但枚舉法的缺點就是容易漏掉某條線路。簡單標號法相對簡單些,只計算最早開始時間和最早結束時間,每個節點上標注(節點號,最早完成時間),其中節點號為緊前工作中最早結束時間最大的工作的箭頭節點。如下圖:

簡單標號法的計算結果與枚舉法一致。
(3)甲專業咨詢工程師按A-I-J順序在現場考察,工作線路為A-I-J-M,其窩工時
間(自由時差)共計(17-15)=2周?;蛘甙礃颂柗ǎㄉ蠄D),A之后I,自由時差為1周;
I之后J,自由時差有1周,所以共計總時差為2周。
3.增加工作F后,咨詢服務進度計劃調整如下圖,利用枚舉法計算:
主要的工作線路有:A-E-G-J-M,17周;A-F-I-J-M,18周;A-F-I-K-M,為17周;A-F-I-L-M,18周;A-F-I-L-N,16周;B-C-J-M,15周;8-D-I-J-M,16周;8-D-I-K-M,15周;8-D-I-L-M,16周;B-D-I-L-N,14周。
增加工作F后的計算工期變成18周,關鍵線路有:A-F-I-J-M,18周;A-F-I-L-M,18周;

4.第15周末:
進度偏差=已完工作計劃費用一擬完工作計劃費用=10-13=-3萬元,說明工作拖延了3萬元的工程量;
費用偏差=已完工作計劃費用一已完工作實際費用=10-11=-1萬元;說明費用超支了1萬元。
點評:2007年真題整體上難度有所降低,考核面擴大,計算量減少;題目綜合性較強,但每一小問都相對比較簡單。應試的關鍵是在理解咨詢理論、方法的基礎上,不要僅僅局限在方法的概念、應用上,而是學會靈活運用咨詢方法來解決實際問題。