知識點、普通年金的相關計算(主要包括終值、現值、償債基金、年資本回收額)
一、有關年金的相關概念
1.年金的含義
年金,是指一定時期內每次等額收付的系列款項。具有兩個特點:一是金額相等;二是時間間隔相等。
【注意】
1.這里的年金收付間隔的時間不一定是1年,可以是半年、一個季度或者一個月等。
2.這里年金收付的起止時間可以是從任何時點開始,如一年的間隔期,不一定是從1月1日至12月31日,可以是從當年7月1日至次年6月30日。
2.年金的種類
在年金的四種類型中,最基本的是普通年金,其他類型的年金都可以看成是普通年金的轉化形式。
二、普通年金終值與現值的計算
1.普通年金終值計算(注意年金終值的涵義、終值點)
年金終值系數(F/A,i,n),平時做題及考試時,一般會直接給出該系數。
2.普通年金現值的計算
三、償債基金和年資本回收額的計算
1.償債基金的計算(已知終值F,求年金A)
償債基金是指為了在約定的未來某一時點清償某筆債務或積聚一定數額的資金而必須分次等額形成的存款準備金。也就是為使年金終值達到既定金額的年金數額(即已知終值F,求年金A)。
在普通年金終值公式中解出A,這個A就是償債基金。計算公式如下:
式中, 
稱為“償債基金系數”,記作(A/F,i,n)。
【結論】
(1)償債基金和普通年金終值互為逆運算;
(2)償債基金系數和普通年金終值系數互為倒數。
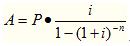
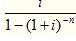
(2)年資本回收額的計算(已知現值P,求年金A)
年資本回收額,是指在約定年限內等額回收初始投入資本或清償所欠的債務。從計算的角度看,就是在普通年金現值公式中解出A,這個A,就是資本回收額。計算公式如下:

、
上式中,
稱為資本回收系數,記作(A/P,i,n)。