發布時間:2010-01-19 共1頁
建筑物價值=重置成本一年貶值額×已使用年限
計算貶值額的方法有很多種,如直線折舊法、余額遞減法、年數合計法、成新折扣法等。常用的計算貶值額方法是直線折舊法和成新折扣法。
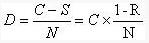
1、直線折舊法計算建筑物每年的貶值額為:(假設建筑物的價值損耗是均勻的)

式中:D——年貶值額;
C——建筑物的重新建造成本;
S——建筑物的凈殘值;
N——建筑物的耐用年限;(注意不能大于土地的尚可使用年限)
R——建筑物的殘值率,即建筑物的凈殘值與重新建造成本的比率。
2、成新折扣法
根據建筑物的建成年代、新舊程度、功能損耗等,確定建筑物的成新率,直接求取建筑物的現值。
建筑物價值=重置成本×成新率
注意:投資利息的計算方法和不要忘記考慮開發利潤和土地增值收益。