發布時間:2012-07-25 共1頁
2011年房產估價師考試樣題
各科目的題型、題量及分值:
“房地產基本制度與政策(含房地產估價相關知識)”的題型題量為:單項選擇題(共40題,20分)、多項選擇題(共15題,30分)、判斷題(共40題,20分)、綜合分析題(共15題,30分)。
“房地產開發經營與管理”、“房地產估價理論與方法”的題型題量為:單項選擇題(共35題,35分)、多項選擇題(共15題,30分)、判斷題(共15題,15分)、計算題(共2-3題,20分)。
“房地產估價案例與分析”的題型題量為:單項選擇題、問答題(共3題,30分)、指錯題(共1題,40分)、改錯題(共1題,10分)。
各科目相同的題型分值有所不同。
單項選擇題(每題X分。每題的備選答案中只有1個最符合題意,請在答題卡上涂黑其相應的編號)
某房地產估價機構于2005年6月10日至16日評估了一宗房地產于2005年6月12日的市場價值,后對其估價結果產生了異議。現在要求你重新估價以證明該房地產估價機構的估價結果是否客觀合理,此時你認為估價時點應為( )。
A.現在
B.委托人指定的日期
C.2005年6月12日
D.重新估價的作業日期中的某日
參考答案:C
多項選擇題(每題2分。每題的備選答案中有2個或2個以上符合題意。請在答題卡上涂黑其相應的編號。全部選對的,得2分;錯選或多選的,不得分;少選且選擇正確的。每個選項得0.5分)
估價人員的估價水平主要取決于其( )。
A.相關理論水平
B.相關實踐經驗
C.相關職業道德修養
D.人際關系好壞
E.學歷高低
參考答案:A.B
判斷題(每題X分。請根據判斷結果,在答題卡上涂黑其相應的符號,用“√”表示正確。用“×”表示錯誤。不答不得分,判斷錯誤扣X分。本題總分最多扣至0分)
某估價報告中注明“估價報告使用期限自2007年3月1日起半年”。如果估價報告使用者在該期限內使用了該估價報告,則出具該估價報告的估價機構和估價師在2007年9月1日以后也要對該估價報告承擔相關法律責任。如果估價報告使用者在2007年9月1日之前未使用該估價報告而是以后使用的,則出具該估價報告的估價機構和估價師不應承擔相關法律責任。
參考答案:√
綜合分析題(每小題2分。每小題的備選答案中有1個或1個以上符合題意。請在答題卡上涂黑其相應的編號。全部選對的。得2分;錯選或多選的。不得分;少選且選擇正確的。每個選項得0.5分)
某市w房地產開發公司(以下簡稱W公司)擬建一經濟適用住房小區,需向該市H鄉征用40公頃基本農田以外的耕地。W公司在小區建設過程中,經過市場調研,決定調整最初確定的開發方案,在部分住宅用地上建造一大型商場;委托某房地產經紀機構代理銷售經濟適用住房,并向G購房戶提供住房公積金貸款服務。W公司開發大型商場時,以商場在建工程抵押貸款方式彌補工程建設資金不足;在商場投入使用時,W公司將商場底層出租給F公司,租期5年。商場開業一年,W公司由于償還貸款,將商場整體出售給S公司。
1.W公司合法占用該小區土地的途徑是( )。
A.向規劃管理部門申辦建設用地規劃許可證和建設工程規劃許可證后,再經項目所在地市人民政府辦理農用地轉用及征地審批手續,交納相關費用后,向土地管理部門辦理土地使用權劃撥手續
B.向規劃管理部門申辦建設用地規劃許可證和建設工程規劃許可證后,辦理農用地轉用審批手續,并向項目所在地省人民政府辦理征地審批手續,交納相關費用后,向土地管理部門辦理土地使用權出讓手續
C.向規劃管理部門申辦建設用地規劃許可證和建設工程規劃許可證后,辦理農用地轉用審批手續,并經國務院辦理征地審批手續,交納相關費用后,向土地管理部門辦理土地使用權出讓手續
D.規劃管理部門批準建設用地規劃申請后,經國務院批準辦理農用地轉用手續,交納相關費用后,向土地管理部門辦理土地使用權劃撥手續
2.W公司要按照調整后的方案進行開發,應辦理的手續包括( )。
A.向土地管理部門提出改變土地使用性質的申請
B.向規劃管理部門提出改變土地使用性質的申請
C.簽訂土地使用權轉讓合同
D.報原批準用地的人民政府批準
3.房地產經紀機構要合法預售住宅,應出示( )。
A.W公司與預房人簽訂的預售合同
B.集體土地所有證和國有土地使用證
C.商品房預售許可證及w公司出具的商品房銷售委托書
D.商品房預售許可證、房屋所有權證及W公司出具的銷售代理委托合同、商品房預售合同
4.G購房戶向銀行申請辦理住房公積金貸款時,除提交申請書、身份證外,還應提交( )。
A.房屋所有權證、購房合同、抵押合同
B.土地使用權證明、購房合同、抵押合同
C.銷售代理合同、購房合同、抵押合同
D.住房公積金管理機構批文
5.W公司的租賃行為要合法,應辦理( )。
A.貸款銀行出具同意出租的證明
B.W公司與F公司簽訂租賃合同
C.到房地產管理部門登記備案、領取房屋租賃證
D.辦理商場營業執照
6.W公司辦理商場轉讓手續時,應向主管部門提交( )。
A.當地房地產管理部門核發的房屋買賣審批書
B.W公司與S公司簽訂的房地產轉讓合同
C.房屋所有權證和土地使用證
D.貸款銀行、F公司同意轉讓的證明
參考答案:
1.D; 2.ABD; 3.C; 4.BD; 5.ABC; 6.BCD.
計算題(要求列出算式、計算過程;需按公式計算的。要寫出公式;只有計算結果而無計算過程的,不得分。計算結果保留小數點后2位。請在答題紙上作答)
某宗房地產建成于2002年10月,此后收益期限為48年;2003年10月至2006年10月分別獲得凈收益83萬元、85萬元、90萬元、94萬元;預計2007年10月至2009年10月可分別獲得凈收益94萬元、93萬元、96萬元,從2010年10月起每年可獲得的凈收益將穩定在95萬元;該類房地產的報酬率為9%。試利用上述資料測算該宗房地產2006年10月的收益價格。

問答題(請將答案寫在答題紙對應的題號下)
張某看中了一處房地產。該房地產位于城市邊緣,緊靠一條新興商業街。雖然是城市邊緣,屬于城市四級地段,但該區域極具發展潛力,商業用地的基準地價為每平方米建筑面積800元。該房地產的建筑物共三層,總建筑面積700㎡.張某擬購入后將一層開設商鋪,二、三層用于居住。原業主開出的售價為總價140萬元。張某為摸清該售價的合理性,找估價師進行估價咨詢。請問估價師接受委托后,在估價前需要了解估價對象的哪些情況?
參考答案要點:
1、土地產權狀況;
2、房屋產權狀況;
3、該房地產是否符合規劃要求;
4、土地使用基本狀況;
5、建筑物基本狀況。
指錯題(下列估價報告存在多處錯誤。請指明其中的13處。每指明1處錯誤得3分。本題全對得40分。請在答題紙上作答。每個錯誤對應一個序號。未將錯誤內容寫在序號后面空格處的。不計分)
房地產估價報告
(封面及目錄略)
致估價委托人函(略)
注冊房地產估價師聲明(略)
估價的假設和限制條件(略)
××酒店房地產估價結果報告
一、委托人
××酒店有限公司,法定代表人:××,住所:××市××路××號。
二、估價機構
××房地產估價事務所,法定代表人:××,住所:××市××路××號,房地產估價機構資質等級:壹級。
三、估價對象
1、地理位置及概況(略)
2、估價對象概況
估價對象:酒店第1、2、10~13、20層建筑面積:11275㎡
土地使用權年限:40年(1988年8月20日起至2028年8月19日止)竣工日期:1991年8月
估價對象用途:酒店客房、餐飲、娛樂建筑結構:框架
土地使用權來源:協議出讓建筑裝修情況:(略)
四、估價目的
為銀行抵押貸款提供依據。
五、估價時點
1999年8月20日。
六、估價依據(略)
七、估價原則(略)
八、估價方法
將估價對象分為三部分進行估價,與第1、2層同類的房地產在當地的交易實例較多,故采用市場比較法進行估價;第10~13層為客房,屬于收益性房地產,故采用收益法進行估價;第20層為娛樂用房,亦屬于收益性房地產,故也采用收益法進行估價。
九、估價結果
估價對象的總價值為人民幣208521050元(大寫人民幣貳億零捌佰伍拾貳萬壹仟零伍拾元整)。
十、估價人員(略)
十一、估價報告使用期限(略)
××酒店房地產估價技術報告
一、個別因素分析(略)
二、區域因素分析(略)
三、市場背景分析(略)
四、最高最佳使用分析(略)
五、估價方法選用
將估價對象分為三部分進行估價,與第1、2層同類的房地產在當地的交易實例較多,故采用市場比較法進行估價;第10~13層為客房,屬于收益性房地產,故采用收益法進行估價;第20層為娛樂用房,亦屬于收益性房地產,故也采用收益法進行估價。
六、估價測算過程
(一)酒店第一、二層估價
酒店第一層為酒店大堂,第二層出租給某公司經營酒樓。第一、二層建筑面積均為2830㎡.在當地房地產市場上此類房地產的交易實例較多,故采用市場比較法進行估價。
可比實例一,國際中心商場1999年8月的市場售價為:一層45000元/㎡,二層30000元/㎡.
可比實例二,華強商廈1999年8月的市場售價為:一層39000元/㎡,二層25000元/㎡.
可比實例三,世紀廣場商場1999年8月的市場售價為:一層38000元/㎡,二層24000元/㎡.
確定可比實例修正系數的依據(略)。
修正計算:
| 可比實例 | 一 | 二 | 三 |
| 一層市場售價 | 45000 | 39000 | 38000 |
| 交易情況修正 | 90/100 | 100/100 | 100/100 |
| 交易日期修正 | 100/100 | 100/100 | 100/100 |
| 區域因素修正 | 100/110 | 100/105 | 100/106 |
| 個別因素修正 | 100/108 | 100/108 | 100/105 |
| 修正后的單價 | 34091 | 34392 | 34142 |
| 可比實例 | 一 | 二 | 三 |
| 二層市場售價 | 30000 | 25000 | 24000 |
| 交易情況修正 | 90/100 | 100/100 | 100/100 |
| 交易日期修正 | 100/100 | 100/100 | 100/100 |
| 區域因素修正 | 100/110 | 100/105 | 100/106 |
| 個別因素修正 | 100/117 | 100/110 | 100/105 |
| 修正后的單價 | 20979 | 21645 | 21563 |
一層比準價格為:(34091+34392+34142)÷3=34208(元/㎡)
二層比準價格為:(20979+21645+21563)÷3=21396(元/㎡)
第一、二層價值為:(34208+21396)×2830=157359320(元)
(二)酒店第10~13層估價
酒店第10~13層為客房,建筑面積4500㎡.因屬于收益性房地產,故采用收益法進行估價。
選用收益法公式:
![]()
式:
式中:
V——房地產價格;
A——年凈收益;
Y——報酬率;
n——尚可使用年限。
1、尚可使用年限n的確定
該酒店建筑物耐用年限為50年,已使用8年,故尚可使用年限為42年,即n=42.
2、年凈收益A的確定
酒店第10~13層共有客房104間。根據該公司提供的1996年至1998年的經營情況分析表及財務報表,平均每間客房日租金為人民幣400元,一年365天,則:
年總收入=104×400×365=15184000(元)
酒店客房收入中稅、營業支出、管理費、維修費、保險費等總支出占45%。
年凈收益 A=15184000×(1-45%)
=8351200(元)
3、報酬率Y的確定
采用累加法求取報酬率,求得的報酬率為8%。酒店第10~13層價值

(三)酒店第20層估價
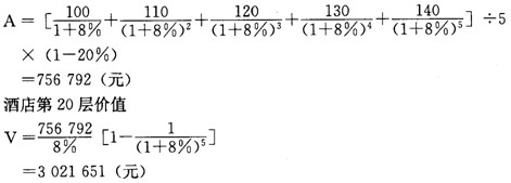
酒店第20層為卡拉0K室、酒吧,建筑面積為1 125㎡,現已出租經營,租期尚余5年。因屬于收益性房地產,故采用收益法進行估價。
按租約規定,第20層的年租金收入在尚余的5年租期內分別為100萬元、110萬元、120萬元、130萬元、140萬元,租賃稅費占租金收入的20%。
計算年凈收益:

(四)估價對象的總價值
157359320+100270342+3021651=260651313(元)
(五)應扣折舊額的確定
經實地考察,該酒店的成新率為八成,因此估價對象的現價值為:260651313×80%=2085210509(元)
七、估價結果確定
估價對象的總價值為人民幣208521050元(大寫人民幣貳億零捌佰伍拾貳萬壹仟零伍拾元整)。
參考答案(可在下列20個中確定13個):
1.缺少房地產權屬狀況描述
2.缺少價值定義
3.酒店大堂采用市場比較法估價不當
4.第二層酒樓用市場比較法時選用商場作可比實例不當
5.酒店第一、二層市場比較法交易情況修正系數形式錯
6.第二層估價交易案例一綜合修正超過30%
7.第二層為收益性房地產,應選用收益法為其中一種方法
8.第10~13層尚可使用年限n應為土地使用權剩余年限,即為29年
9.第10~13層用收益法估價時未采用客觀、未來的收益水平
10.對酒店大堂的估價有重復計算
11.第10~13層估價求收益時未考慮入住率
12.確定資本化率時安全利率選用不當
13.第20層估價時年凈收益求取方法錯誤
14.第20層估價時未考慮5年以后的收益
15.總價值不應再扣除折舊
16.缺少估價作業日期
17.缺少確定估價結果的理由
18.第20層的資本化率應與第10~13層有所不同
19.應說明未來市場變化風險和短期強制處分等因素對抵押價值的影響
20.結果報告中和技術報告的建筑面積不吻合
改錯題(指出并改正下列估價報告片斷中的錯誤。錯處不超過4個。后面應用前面的錯誤計算結果導致的錯誤不再算作錯誤。如將正確的內容改錯,則每改錯1處倒扣2.5分。本題最多扣至0分。請在答題紙上作答,不得在試卷上改錯)
某房地產開發項目,規劃用途為居住,土地使用權年限為1997年3月1日至2067年2月28日,土地使用權出讓金已全部交清。規劃建筑面積5000㎡,預計售價3000元/㎡.
該項目于1997年7月1日開工,原定工期9個月,建筑費為1200元/㎡,管理費為建筑費的5%。建筑費和相應的管理費投入時間為:開工后的第一季度投入30%,第二季度投入40%,第三季度投入30%。假定都在每季度中間投入,年利率6.66%,銷售費用和銷售稅費分別為售價的3%和6%。開工后第一季度結束時,已有1000㎡建筑面積按3000元/㎡預售。開工后第二季度結束時,項目的原開發商擬將項目以合作開發的方式轉讓,轉讓方式為一次性付給一筆轉讓費,用于補償已投入的土地使用權出讓金和建筑費等投資,已預售的1000㎡的凈銷售收入在銷售結束時由原開發商返還給合作方。現合作方委托估算該項目在1998年1月1日的價格。
采用假設開發法估價。預計項目在完工時可全部售出,投資利潤率取20%,季度利率為1.665%。設項目在1998年1月1日價格為V,估算如下
1.計算開發完成后的價值
3000×5000÷(1+1.665%)=14754340(元)
2.計算建筑費
1200×5000×30%÷(1+1.665%)0.5=2641102(元)
3.計算管理費
2641102×5%÷(1+1.665%)0.5=130969(元)
4.計算銷售費用和銷售稅費
14754340×(3%+6%) ÷(1+1.665%)=1306143(元)
5.計算利潤
(V+2641102+130969+1306143)×20%=-0.2V+815643(元)
6.計算項目價格
V=開發完成后的價值-建筑費-管理費-銷售稅和銷售費用-利潤
=14754340-2641102-130969-1306143-0.2V-815643=8217069(元)
參考答案
1、計算管理費錯,應為2641102×5%=132055(元)
2、計算銷售費用和銷售稅費錯,應為:
14754340×(3%+6%)=1327891(元)
3、計算利潤錯,應為:
(V+2641102+132055)×20%=0.2V+549231(元)